Zum Inhalt springen

BTC, AM (CAS 176767-94-5) - 1 mg

https://www.gentaur.be/web/image/product.template/8039/image_1920?unique=325b45d
(0 Rezension)

0,00 € 0.0 EUR 0,00 € Exklusive Steuern

info@gentaur.com

    Diese Kombination existiert nicht.

    Geschäftsbedingungen
    30 Tage Geld-zurück-Garantie
    Versand: 2-3 Geschäftstage

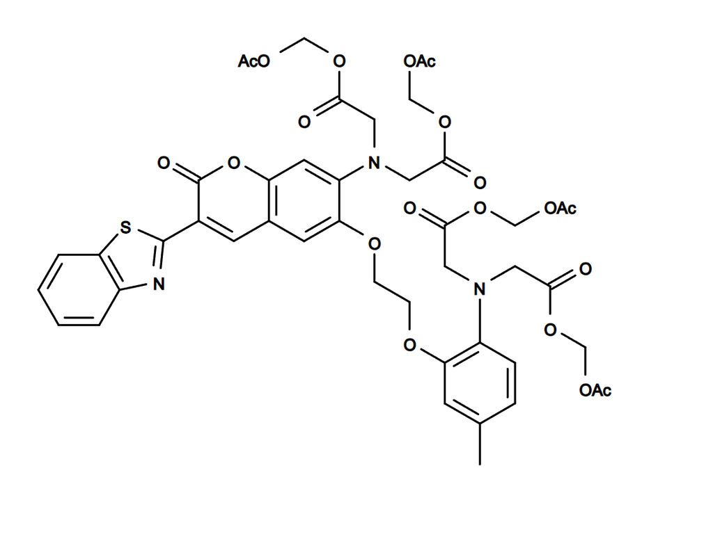
    IUPAC name: Acetyloxymethyl 2-[N-[2-(acetyloxymethoxy)-2-oxoethyl]-2-[2-[3-(1,3-benzothiazol-2-yl)-7-[bis[2-(acetyloxymethoxy)-2-oxoethyl]amino] -2-oxochromen-6-yl]oxyethoxy]-4-methylanilino]acetate

    CAS #: 176767-94-5


    Molecular weight: 979.92


    Dissociation constant (Kd, nM): 7000

    Description: This cell-permeant coumarin Ca2+ indicator BTC, AM exhibits a shift in excitation maximum from about 480 nm to 400 nm upon binding Ca2+, enabling ratiometric calcium measurements. Due to its high selectivity and low affinity for Ca2+ (Kd ~7 uM) BTC is often used for the quantitation of high intracellular Ca2+levels. In addition, BTC, AM has also been used for monitoring potassium channel since thallium ion enhances the fluorescence of BTC.